Global observatory on donation and transplantation on gender disparity in organ transplantation in India from 2019-2023
Khushboo Saxena1, Vivek Kute1, Anil Kumar2, Beatriz Domínguez-Gil3, Mar Carmona Sanz3, Vasanthi Ramesh4,5, Manish Balwani6,7,8, Arpita Ray Chaudhury9,10.
1Department of Nephrology, Institute of Kidney Disease and Research Centre-Institute of Transplantation Sciences, Ahmedabad, India; 2Director, National Organ and Tissue Transplant Organization (NOTTO), Ministry of Health and Family Welfare, Government of India, New Delhi, India; 3(Spain, International Sort) , Spanish (Spain, International Sort) Organización Nacional de Trasplantes, Madrid, Spain; 4Founder, Director, National Organ and Tissue Transplant Organization (NOTTO) , Ministry of Health and Family Welfare, Government of India, New Delhi, India; 5Department of Surgery, ESIC Medical College , Alwar, India; 6Department of Nephrology, Saraswati Kidney Care Center, Nagpur, India; 7Department of Nephrology, Jawaharlal Nehru Medical College, Sawangi, Wardha, India; 8Secretary , Indian Society of Organ Transplantation (ISOT), -, India; 9Department of Nephrology, North Bengal Medical College, Darjeeling, India; 10President , Indian Society of Organ Transplantation (ISOT), -, India
Introduction: Gender disparity in kidney transplant is a global issue. In developing nations like India, female recipients are only a quarter in number as compared to male recipients. Both in deceased and living kidney and liver transplants, there is a trend where women give more but receive less and men give less but receive more. Addressing this inequality in transplantation is the need of the hour.
Methods: We reviewed data from the Global Observatory on Donation and Transplantation (GODT), submitted by the National Organ and Tissue Transplant Organization (NOTTO) regarding gender distribution in organ transplantation in India from 2019-2023 and analysed it.
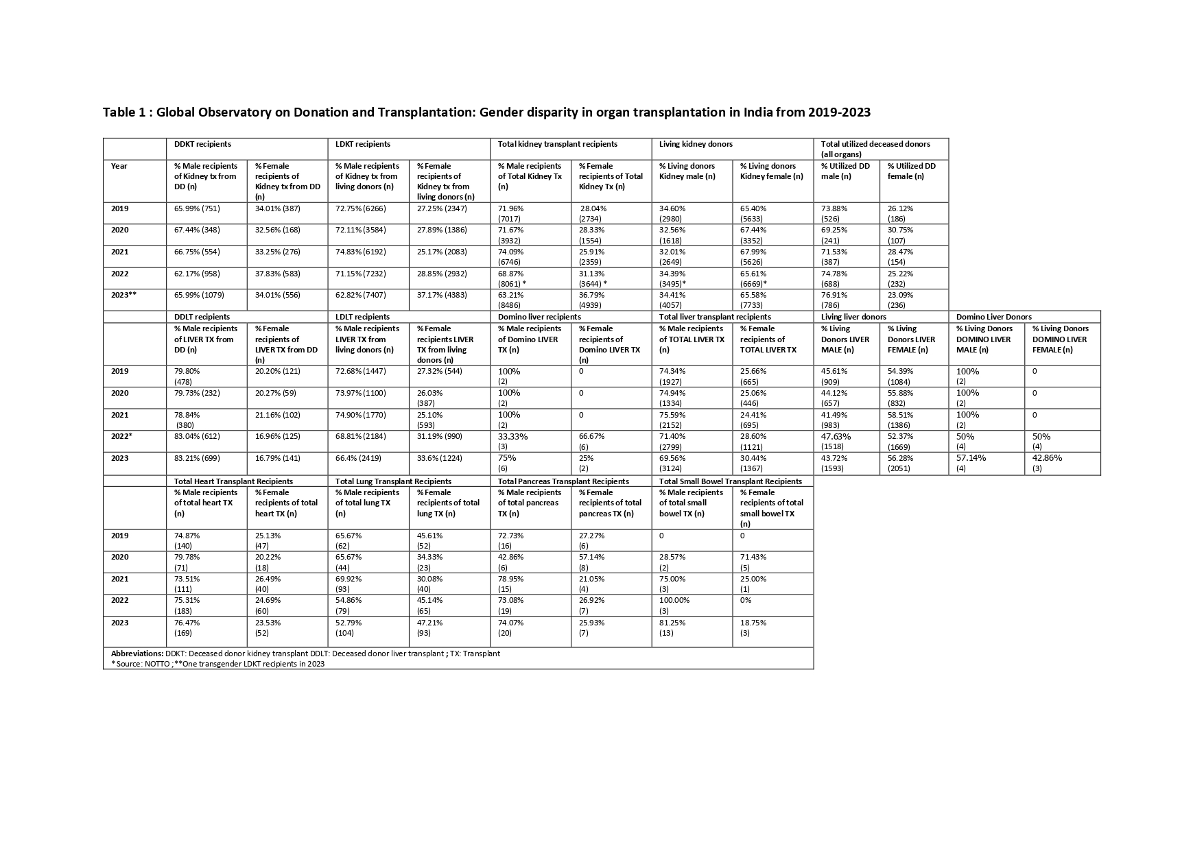
Results: The percentage of female kidney transplant recipients (from both living and deceased donors) has increased over time (n=2,734/28% in 2019 to n=4,939/36.8% in 2023). Specifically, more women have received living donor kidney transplantation (n=2347/27.2% in 2019 increasing to n=4383/37.2% in 2023). Likewise, more women have received liver transplants (from both living and deceased donors). Overall, the percentage has increased from a quarter of all recipients in 2019 to almost one-third in 2023. Similar trends are seen in all solid organ transplants.
On the other hand, women continue to contribute the majority of living kidney donors with an increase in absolute numbers from 2019-2023, albeit a consistent relative contribution (n=5633 and n=7733, respectively; contributing approx. 65% of living donors) Similarly, more than half of all living liver donors were women throughout the last 5 years. The percentage of female deceased donors (all organs) continues to remain below a quarter of all deceased donors.


Conclusions: While gender disparity in renal transplantation remains a real challenge in india, there is a gradual shift towards gender equality in transplantation and organ donation over the years.
[1] Female recipients
[2] Gender in transplant
[3] gender disparity
[4] organ transplant